Официальное опубликование правовых актов
ОФИЦИАЛЬНОЕ ОПУБЛИКОВАНИЕ
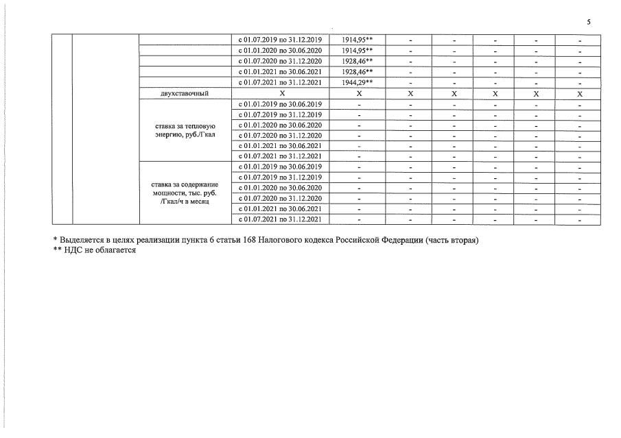
Решение Управления Алтайского края по государственному регулированию цен и тарифов от 04.12.2018 № 391
"Об установлении тарифов на тепловую энергию, поставляемую обществом с ограниченной ответственностью "Сибмодуль" потребителям муниципального образования город Барнаул Алтайского края, на 2019–2021 годы"
Номер опубликования: 2201201812050031
Дата опубликования: 05.12.2018
Страница №5 из 5:
Увеличить