Решение Управления Алтайского края по государственному регулированию цен и тарифов от 04.12.2018 № 387
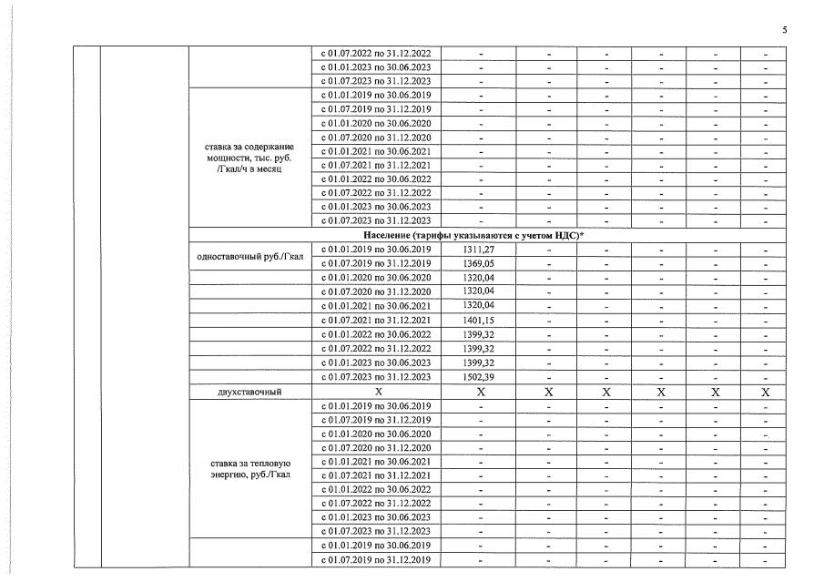
"Об установлении тарифов на тепловую энергию, поставляемую открытым акционерным обществом "Кучуксульфат" потребителям Благовещенского района Алтайского края, на 2019–2023 годы"
"Об установлении тарифов на тепловую энергию, поставляемую открытым акционерным обществом "Кучуксульфат" потребителям Благовещенского района Алтайского края, на 2019–2023 годы"
Номер опубликования: 2201201812050028
Дата опубликования:
05.12.2018
