Решение Управления Алтайского края по государственному регулированию цен и тарифов от 04.12.2018 № 390
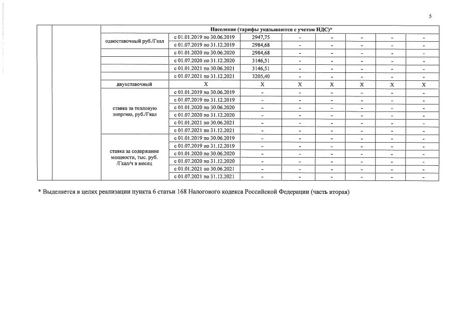
"Об установлении тарифов на тепловую энергию, поставляемую муниципальным унитарным предприятием "Жилищно-коммунальное хозяйство Змеиногорского района" потребителям Змеиногорского района Алтайского края, на 2019–2021 годы"
"Об установлении тарифов на тепловую энергию, поставляемую муниципальным унитарным предприятием "Жилищно-коммунальное хозяйство Змеиногорского района" потребителям Змеиногорского района Алтайского края, на 2019–2021 годы"
Номер опубликования: 2201201812050024
Дата опубликования:
05.12.2018
