Решение Управления Алтайского края по государственному регулированию цен и тарифов от 04.12.2018 № 377
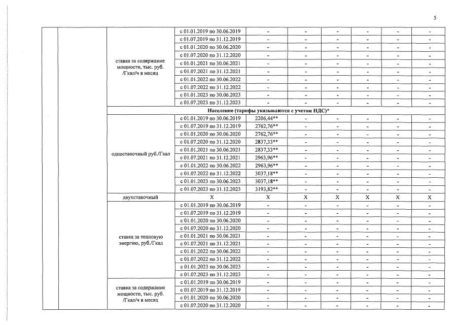
"Об установлении тарифов на тепловую энергию, поставляемую муниципальным унитарным предприятием "Коммунальщик" Тогульского района потребителям Тогульского района Алтайского края, на 2019−2023 годы"
"Об установлении тарифов на тепловую энергию, поставляемую муниципальным унитарным предприятием "Коммунальщик" Тогульского района потребителям Тогульского района Алтайского края, на 2019−2023 годы"
Номер опубликования: 2201201812050019
Дата опубликования:
05.12.2018
