Официальное опубликование правовых актов
ОФИЦИАЛЬНОЕ ОПУБЛИКОВАНИЕ
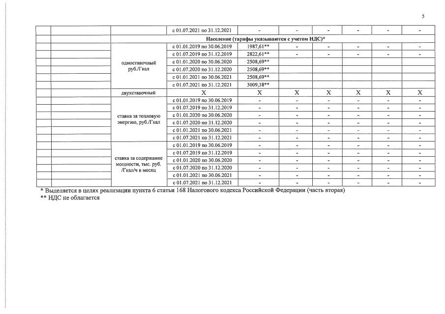
Решение Управления Алтайского края по государственному регулированию цен и тарифов от 04.12.2018 № 372
"Об установлении тарифов на тепловую энергию, поставляемую муниципальным унитарным предприятием Романовского района Алтайского края "Теплосервис" потребителям Романовского района Алтайского края, на 2019−2021 годы"
Номер опубликования: 2201201812050013
Дата опубликования: 05.12.2018
Страница №5 из 5:
Увеличить