Официальное опубликование правовых актов
ОФИЦИАЛЬНОЕ ОПУБЛИКОВАНИЕ
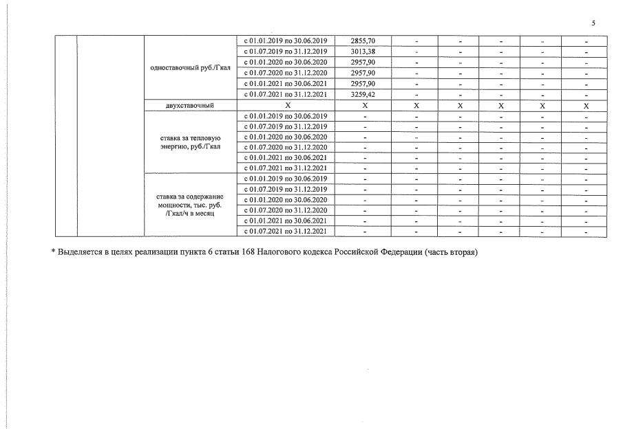
Решение Управления Алтайского края по государственному регулированию цен и тарифов от 04.12.2018 № 375
"Об установлении тарифов на тепловую энергию, поставляемую муниципальным унитарным предприятием "Тепловик" потребителям Советского района Алтайского края, на 2019−2021 годы"
Номер опубликования: 2201201812050011
Дата опубликования: 05.12.2018
Страница №5 из 5:
Увеличить