Решение Управления Алтайского края по государственному регулированию цен и тарифов от 04.12.2018 № 370
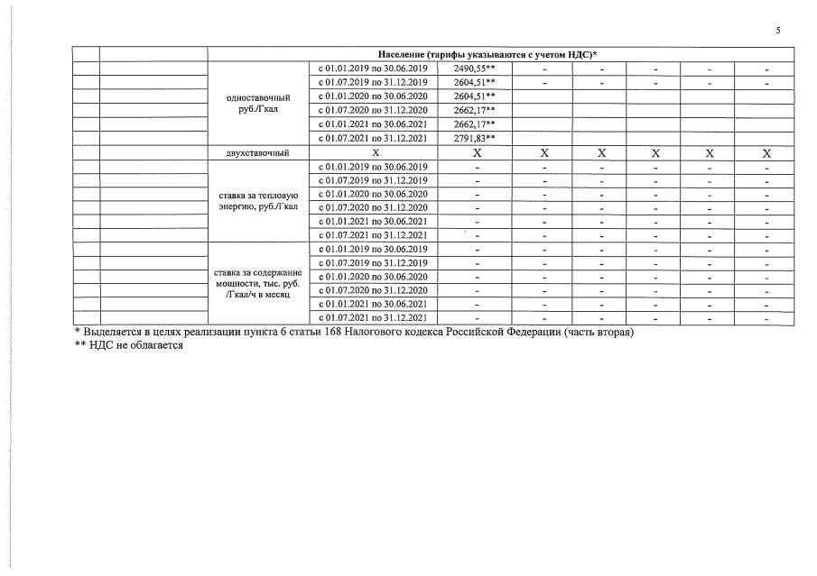
"Об установлении тарифов на тепловую энергию, поставляемую муниципальным унитарным предприятием "Теплосервис" потребителям Новичихинского района Алтайского края, на 2019−2021 годы"
"Об установлении тарифов на тепловую энергию, поставляемую муниципальным унитарным предприятием "Теплосервис" потребителям Новичихинского района Алтайского края, на 2019−2021 годы"
Номер опубликования: 2201201812050008
Дата опубликования:
05.12.2018
