Решение Управления Алтайского края по государственному регулированию цен и тарифов от 27.11.2018 № 342
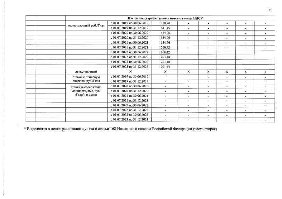
"Об установлении тарифов на тепловую энергию, поставляемую потребительским обществом "Алейторг" потребителям муниципального образования город Алейск Алтайского края, на 2019–2023 годы"
"Об установлении тарифов на тепловую энергию, поставляемую потребительским обществом "Алейторг" потребителям муниципального образования город Алейск Алтайского края, на 2019–2023 годы"
Номер опубликования: 2201201811290034
Дата опубликования:
29.11.2018
