Официальное опубликование правовых актов
ОФИЦИАЛЬНОЕ ОПУБЛИКОВАНИЕ
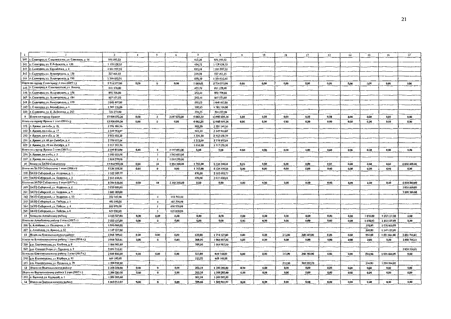
Приказ Министерства строительства, транспорта, жилищно-коммунального хозяйства Алтайского края от 16.02.2017 № 87
"О внесении изменений в приказ Главного управления строительства, транспорта, жилищно-коммунального и дорожного хозяйства Алтайского края от 01.04.2016 № 103"
Номер опубликования: 2201201702170003
Дата опубликования: 17.02.2017
Страница №21 из 27:
Увеличить