Официальное опубликование правовых актов
ОФИЦИАЛЬНОЕ ОПУБЛИКОВАНИЕ
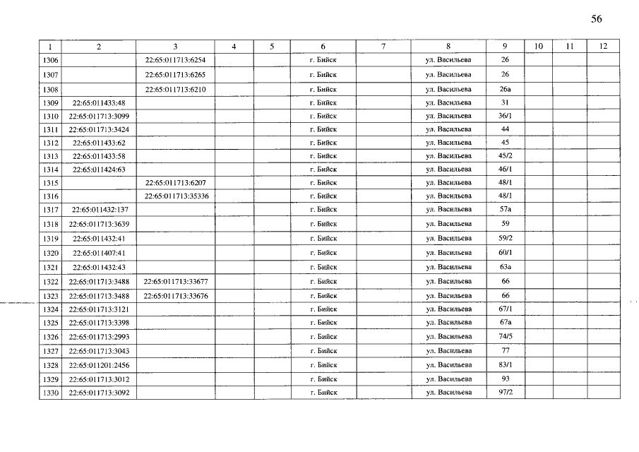
Приказ управления Алтайского края по развитию предпринимательства и рыночной инфраструктуры от 25.11.2016 № 142
"Об утверждении перечня объектов недвижимого имущества, в отношении которых налоговая база определяется как кадастровая стоимость, на 2017 год"
Номер опубликования: 2201201611280002
Дата опубликования: 28.11.2016
Страница №56 из 75:
Увеличить