Приказ Главного управления Алтайского края по труду и социальной защите от 20.02.2016 № 58
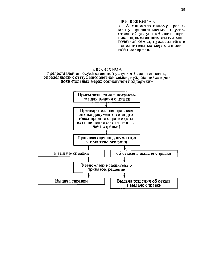
"Об утверждении Административного регламента предоставления государственной услуги "Выдача справок, определяющих статус многодетной семьи, нуждающейся в дополнительных мерах социальной поддержки"
"Об утверждении Административного регламента предоставления государственной услуги "Выдача справок, определяющих статус многодетной семьи, нуждающейся в дополнительных мерах социальной поддержки"
Номер опубликования: 2201201602260001
Дата опубликования:
26.02.2016
