Официальное опубликование правовых актов
ОФИЦИАЛЬНОЕ ОПУБЛИКОВАНИЕ
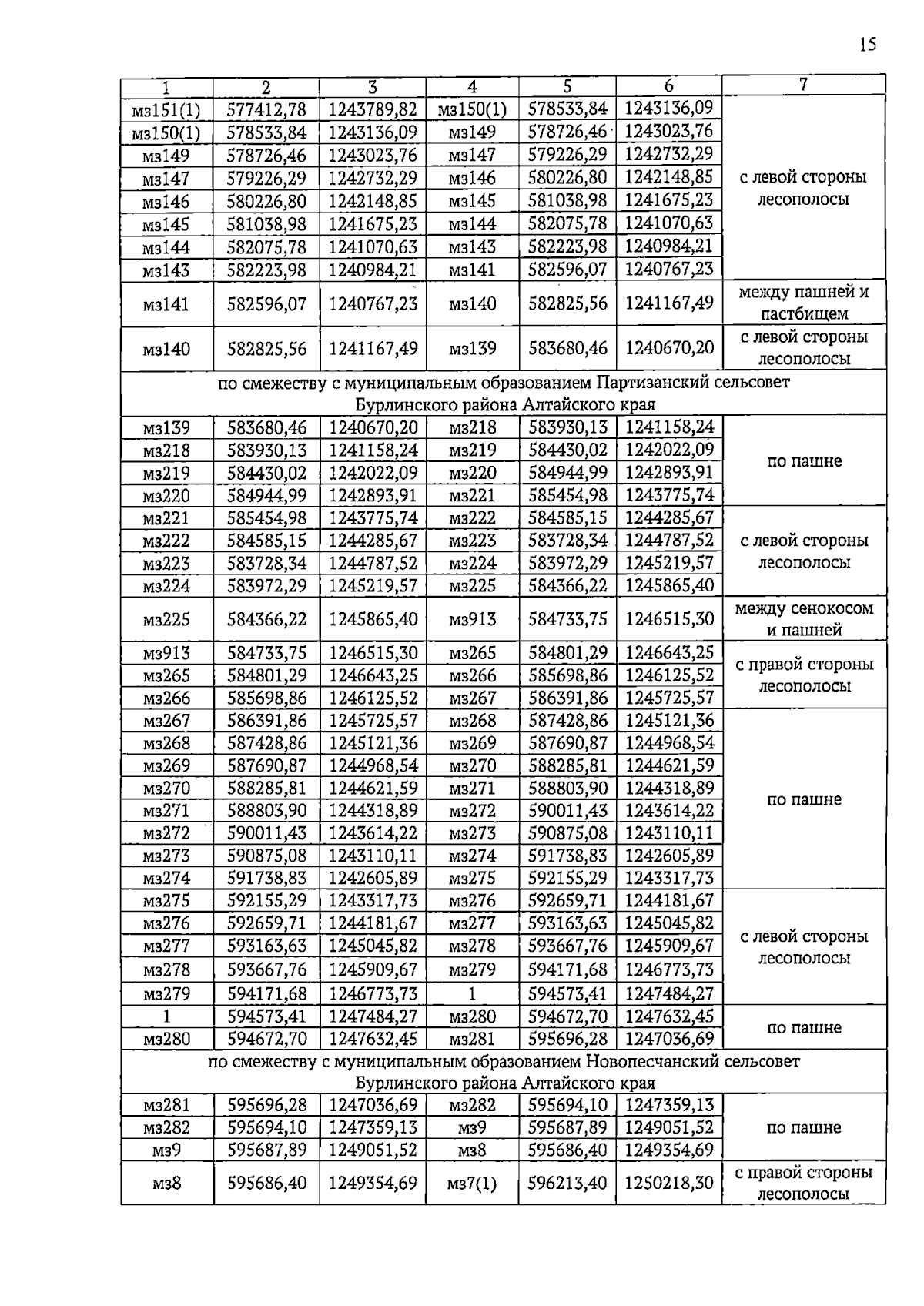
Закон Алтайского края от 01.04.2026 № 24-ЗС
"О внесении изменений в приложение 1 к закону Алтайского края "Об установлении границ муниципального образования муниципальный округ Немецкий национальный район Алтайского края"
Номер опубликования: 2200202604020005
Дата опубликования: 02.04.2026
Страница №15 из 17:
Увеличить