Официальное опубликование правовых актов
ОФИЦИАЛЬНОЕ ОПУБЛИКОВАНИЕ
Постановление Правительства Алтайского края от 26.12.2025 № 506
"О внесении изменений в постановление Администрации Алтайского края от 27.03.2014 № 146"
(Зарегистрирован 29.12.2025 № 2378)
Номер опубликования: 2200202512290014
Дата опубликования: 29.12.2025
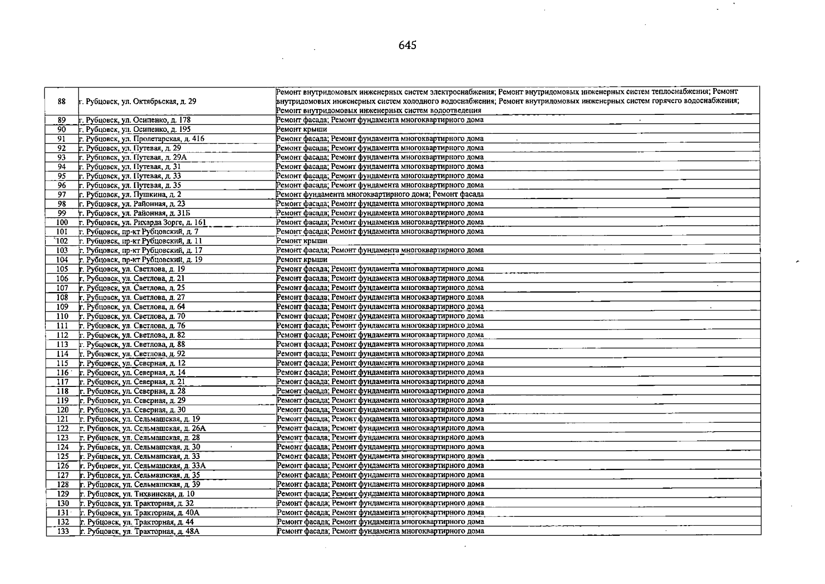
Страница №645 из 1946:
Увеличить