Официальное опубликование правовых актов
ОФИЦИАЛЬНОЕ ОПУБЛИКОВАНИЕ
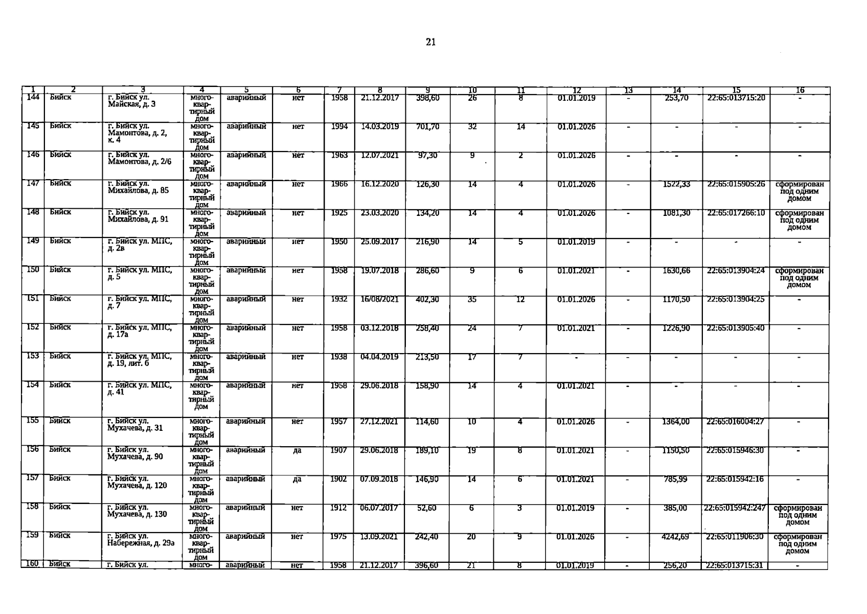
Постановление Правительства Алтайского края от 15.08.2025 № 326
"Об утверждении региональной адресной программы "Переселение граждан из аварийного жилищного фонда на территории Алтайского края"
(Зарегистрирован 18.08.2025 № 1174)
Номер опубликования: 2200202508180003
Дата опубликования: 18.08.2025
Страница №21 из 34:
Увеличить