Официальное опубликование правовых актов
ОФИЦИАЛЬНОЕ ОПУБЛИКОВАНИЕ
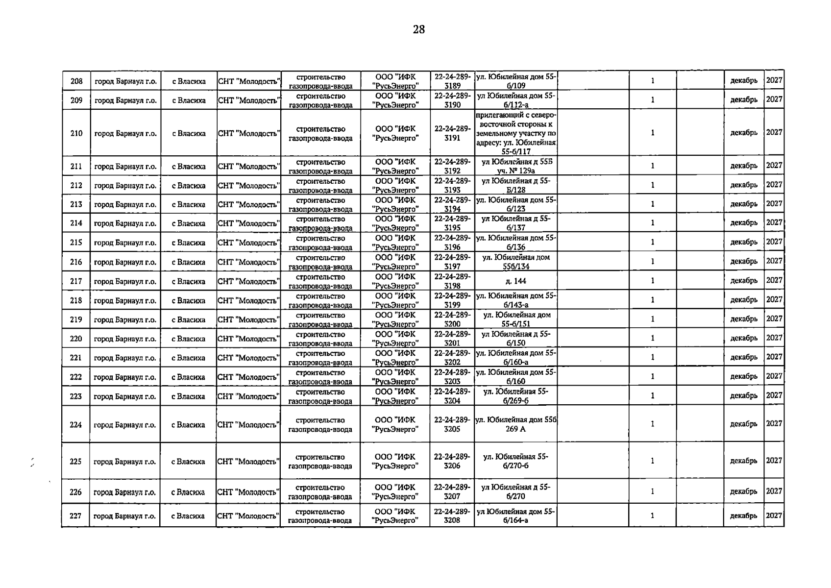
Постановление Правительства Алтайского края от 10.07.2025 № 280
"О внесении изменений в постановление Правительства Алтайского края от 27.06.2022 № 231"
(Зарегистрирован 11.07.2025 № 1024)
Номер опубликования: 2200202507110001
Дата опубликования: 11.07.2025
Страница №28 из 207:
Увеличить