Официальное опубликование правовых актов
ОФИЦИАЛЬНОЕ ОПУБЛИКОВАНИЕ
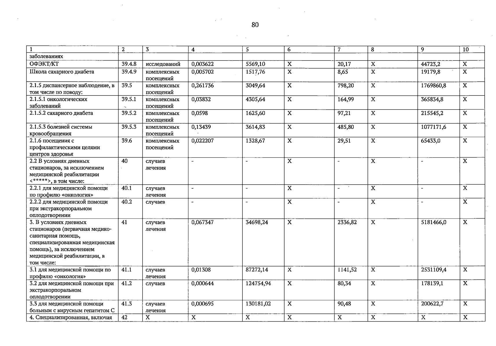
Постановление Правительства Алтайского края от 27.12.2024 № 526
"Об утверждении Территориальной программы государственных гарантий бесплатного оказания гражданам медицинской помощи на 2025 год и на плановый период 2026 и 2027 годов"
Номер опубликования: 2200202412280012
Дата опубликования: 28.12.2024
Страница №80 из 418:
Увеличить