Официальное опубликование правовых актов
ОФИЦИАЛЬНОЕ ОПУБЛИКОВАНИЕ
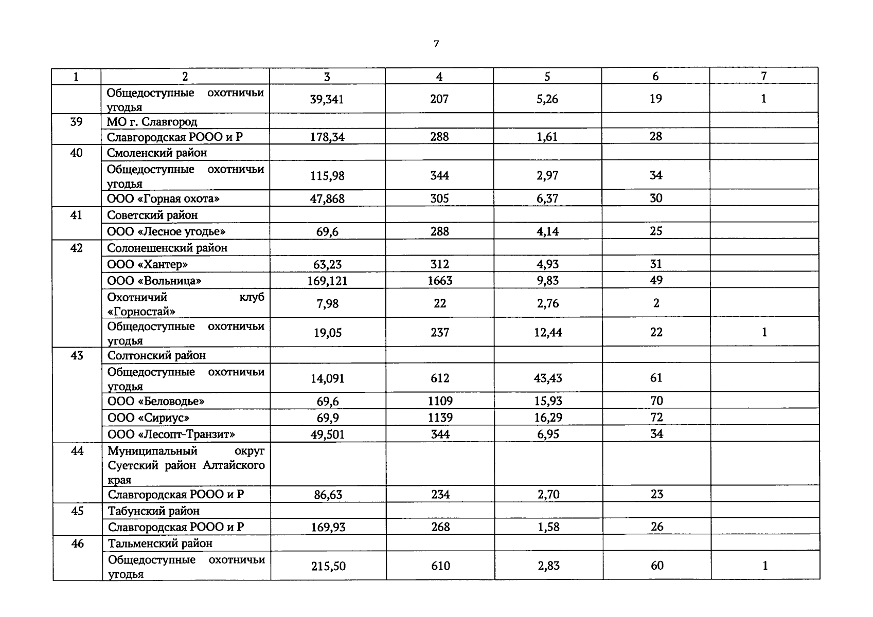
Указ Губернатора Алтайского края от 09.07.2024 № 103
"Об утверждении лимитов и квот добычи барсука и бурого медведя на территории Алтайского края на период с 1 августа 2024 года до 1 августа 2025 года"
Номер опубликования: 2200202407100004
Дата опубликования: 10.07.2024
Страница №7 из 12:
Увеличить