Официальное опубликование правовых актов
ОФИЦИАЛЬНОЕ ОПУБЛИКОВАНИЕ
Постановление Правительства Алтайского края от 24.07.2020 № 319
"О внесении изменений в постановление Администрации Алтайского края от 16.10.2014 № 479"
Номер опубликования: 2200202007290003
Дата опубликования: 29.07.2020
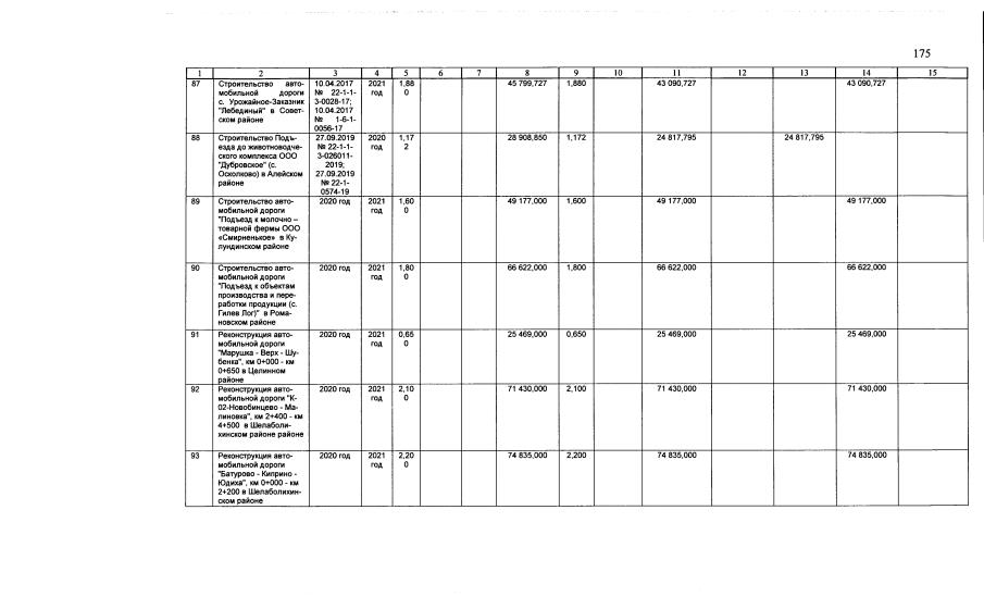
Страница №175 из 176:
Увеличить