Официальное опубликование правовых актов
ОФИЦИАЛЬНОЕ ОПУБЛИКОВАНИЕ
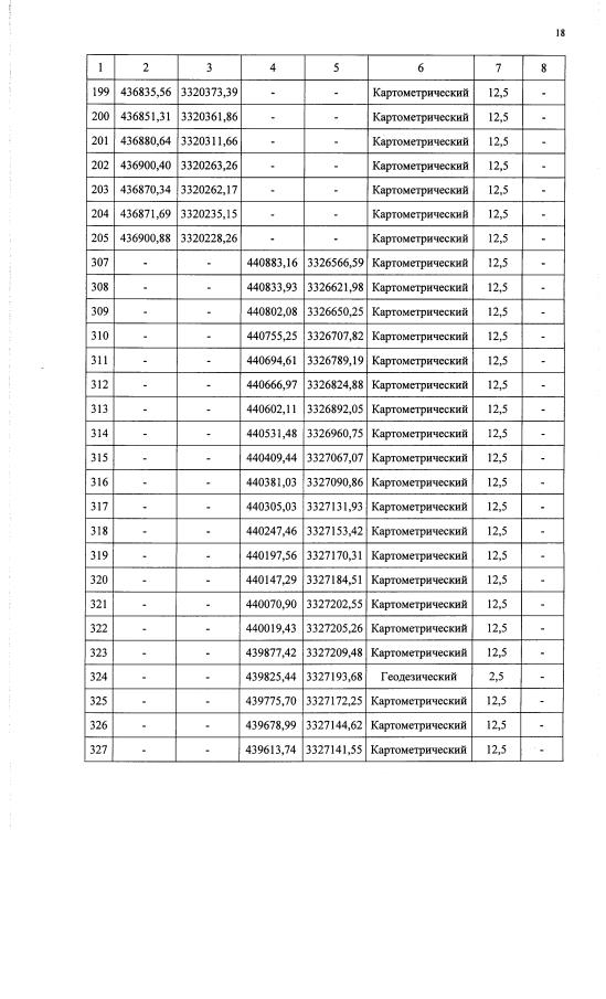
Постановление Правительства Алтайского края от 23.06.2020 № 274
"О внесении изменений в постановление Администрации Алтайского края от 30.07.2008 № 306"
Номер опубликования: 2200202006260001
Дата опубликования: 26.06.2020
Страница №18 из 29:
Увеличить