Официальное опубликование правовых актов
ОФИЦИАЛЬНОЕ ОПУБЛИКОВАНИЕ
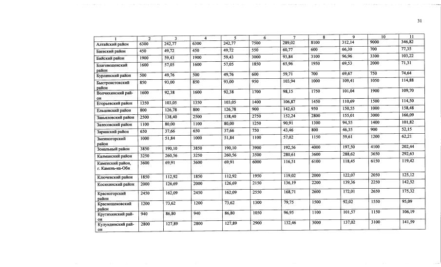
Постановление Правительства Алтайского края от 15.06.2020 № 266
"Об утверждении государственной программы Алтайского края "Обеспечение доступным и комфортным жильем населения Алтайского края"
Номер опубликования: 2200202006160002
Дата опубликования: 16.06.2020
Страница №31 из 115:
Увеличить