Официальное опубликование правовых актов
ОФИЦИАЛЬНОЕ ОПУБЛИКОВАНИЕ
Постановление Правительства Алтайского края от 16.03.2020 № 115
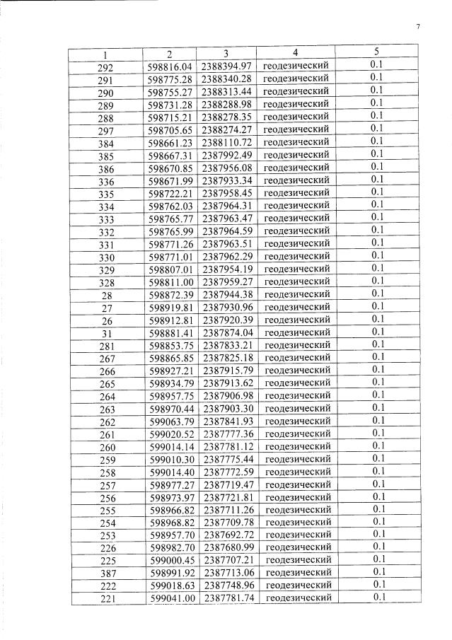
"Об установлении объединенной зоны охраны объектов культурного наследия федерального и регионального значения, расположенных в городе Барнауле Алтайского края в границах улиц Гоголя, Мамонтова, проспекта Социалистического с отступом на запад от проспекта Красноармейского, утверждении требований к градостроительным регламентам в границах территорий данной зоны"
Номер опубликования: 2200202003230001
Дата опубликования: 23.03.2020
Страница №7 из 50:
Увеличить