Официальное опубликование правовых актов
ОФИЦИАЛЬНОЕ ОПУБЛИКОВАНИЕ
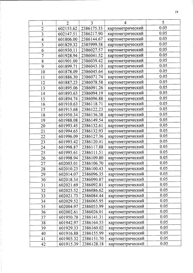
Постановление Правительства Алтайского края от 16.03.2020 № 108
"Об установлении зон охраны объекта культурного наследия регионального значения "Комплекс памятников истории и архитектуры ж/д станции г. Барнаула", нач. XX в. – 1950-е гг., расположенного по адресам: Алтайс-кий край, г. Барнаул, пл. Победы, 6, 7, 10, 13, ул. Привокзальная, 14, ул. Во-допроводная, 122, утверждении режимов использования земель и требований к градостроительным регламентам в границах территорий данных зон"
Номер опубликования: 2200202003180001
Дата опубликования: 18.03.2020
Страница №19 из 54:
Увеличить