Официальное опубликование правовых актов
ОФИЦИАЛЬНОЕ ОПУБЛИКОВАНИЕ
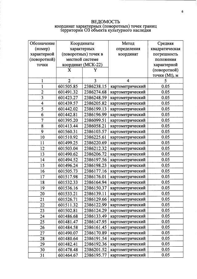
Постановление Правительства Алтайского края от 16.03.2020 № 114
"Об установлении зоны охраны объекта культурного наследия регионального значения "Памятник воинам Алтайского края, погибшим в годы Великой Отечественной войны", 1971 – 1975 гг., расположенного по адресу: Алтайский край, г. Барнаул, пл. Победы, утверждении режима использования земель и требований к градостроительным регламентам в границах территории данной зоны"
Номер опубликования: 2200202003170010
Дата опубликования: 17.03.2020
Страница №6 из 10:
Увеличить