Официальное опубликование правовых актов
ОФИЦИАЛЬНОЕ ОПУБЛИКОВАНИЕ
Постановление Правительства Алтайского края от 28.02.2020 № 85
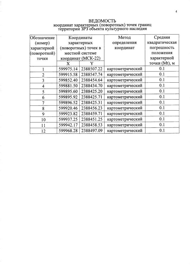
"Об установлении зоны охраны объекта культурного наследия регионального значения "Городское четырехклассное училище", 1908 г. и "Здание, где размещался госпиталь раненых на фронтах Великой Отечественной войны", 1941 – 1945 гг., расположенного по адресу: Алтайский край, г. Барнаул, ул. Короленко, 51 / ул. Максима Горького, 31, утверждении режима использования земель и требований к градостроительным регламентам в границах территории данной зоны"
Номер опубликования: 2200202003030011
Дата опубликования: 03.03.2020
Страница №4 из 11:
Увеличить