Официальное опубликование правовых актов
ОФИЦИАЛЬНОЕ ОПУБЛИКОВАНИЕ
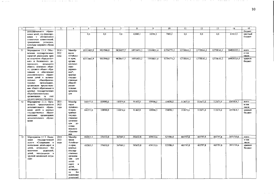
Постановление Правительства Алтайского края от 31.12.2019 № 554
"О внесении изменений в постановление Администрации Алтайского края от 20.12.2013 № 670"
Номер опубликования: 2200201912310010
Дата опубликования: 31.12.2019
Страница №10 из 18:
Увеличить