Официальное опубликование правовых актов
ОФИЦИАЛЬНОЕ ОПУБЛИКОВАНИЕ
Постановление Правительства Алтайского края от 26.12.2019 № 540
"О внесении изменений в постановление Правительства Алтайского края от 01.04.2019 № 106"
Номер опубликования: 2200201912300002
Дата опубликования: 30.12.2019
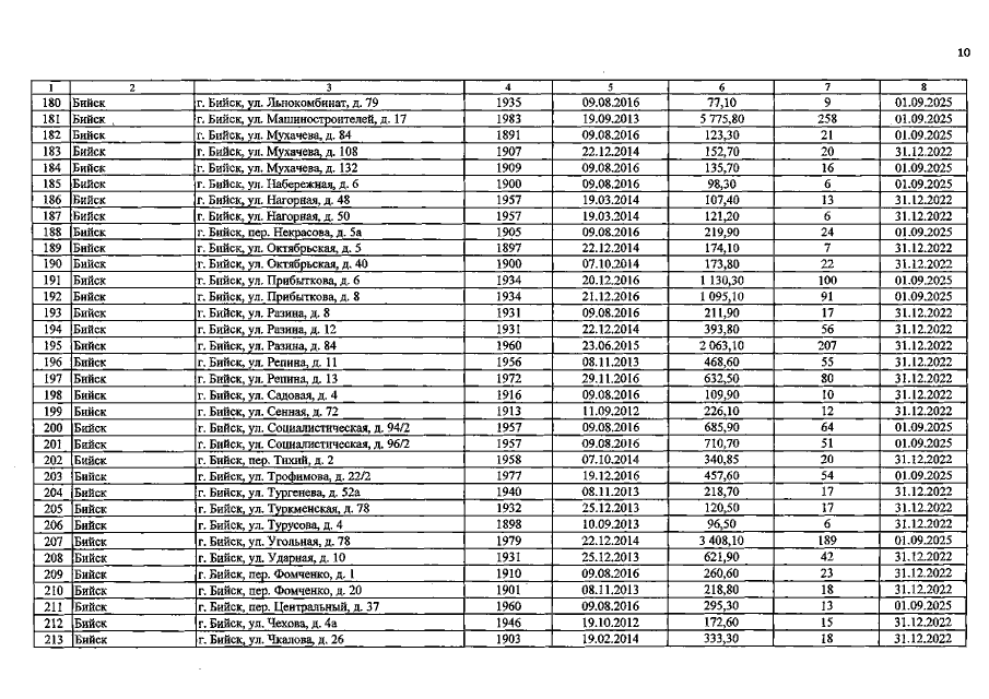
Страница №10 из 19:
Увеличить