Официальное опубликование правовых актов
ОФИЦИАЛЬНОЕ ОПУБЛИКОВАНИЕ
Постановление Правительства Алтайского края от 19.12.2019 № 521
"О внесении изменений в постановление Администрации Алтайского края от 20.12.2013 № 670"
Номер опубликования: 2200201912190001
Дата опубликования: 19.12.2019
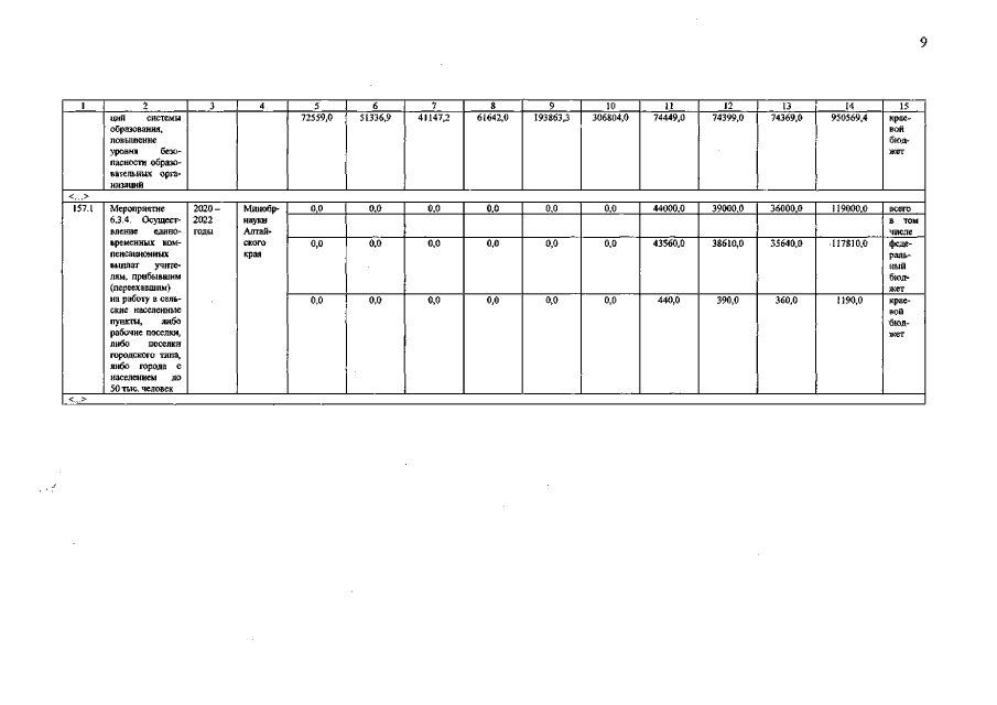
Страница №9 из 10:
Увеличить