Официальное опубликование правовых актов
ОФИЦИАЛЬНОЕ ОПУБЛИКОВАНИЕ
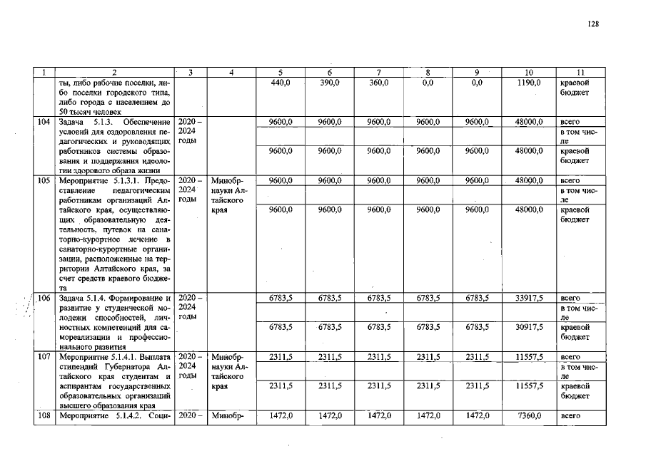
Постановление Правительства Алтайского края от 13.12.2019 № 494
"Об утверждении государственной программы Алтайского края "Развитие образования в Алтайском крае"
Номер опубликования: 2200201912180004
Дата опубликования: 18.12.2019
Страница №128 из 162:
Увеличить