Официальное опубликование правовых актов
ОФИЦИАЛЬНОЕ ОПУБЛИКОВАНИЕ
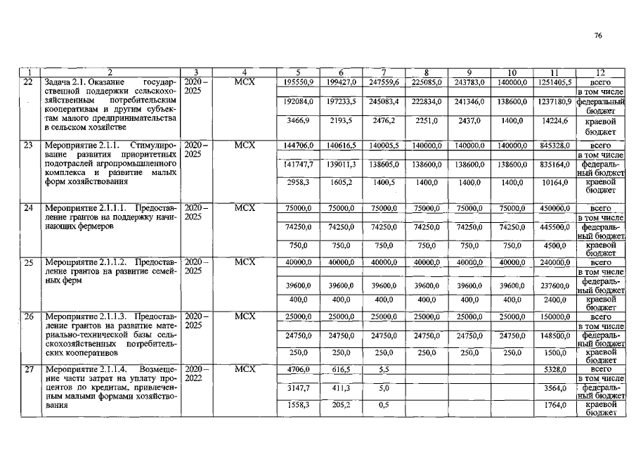
Постановление Правительства Алтайского края от 16.12.2019 № 504
"О внесении изменений в постановление Администрации Алтайского края от 05.10.2012 № 523"
Номер опубликования: 2200201912170004
Дата опубликования: 17.12.2019
Страница №76 из 148:
Увеличить