Официальное опубликование правовых актов
ОФИЦИАЛЬНОЕ ОПУБЛИКОВАНИЕ
Постановление Правительства Алтайского края от 29.11.2019 № 477
"О некоторых постановлениях Администрации Алтайского края, Правительства Алтайского края"
Номер опубликования: 2200201912060005
Дата опубликования: 06.12.2019
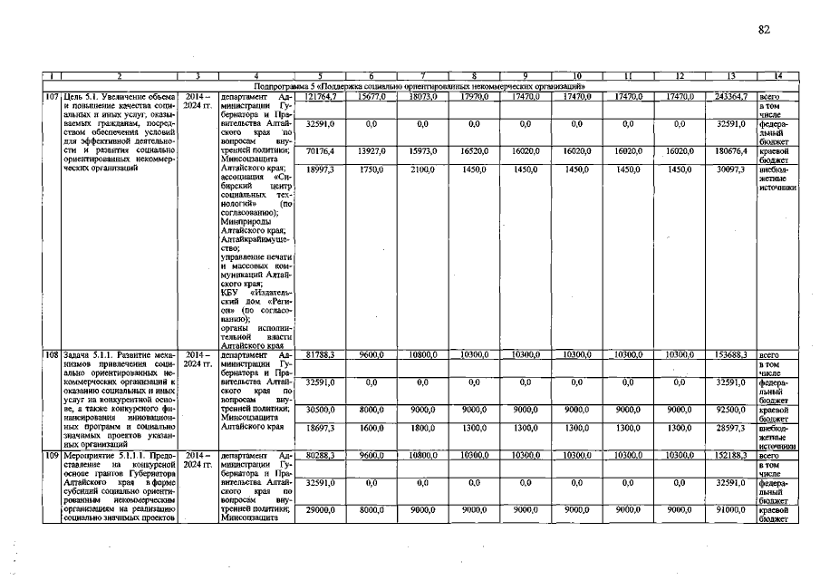
Страница №82 из 90:
Увеличить