Официальное опубликование правовых актов
ОФИЦИАЛЬНОЕ ОПУБЛИКОВАНИЕ
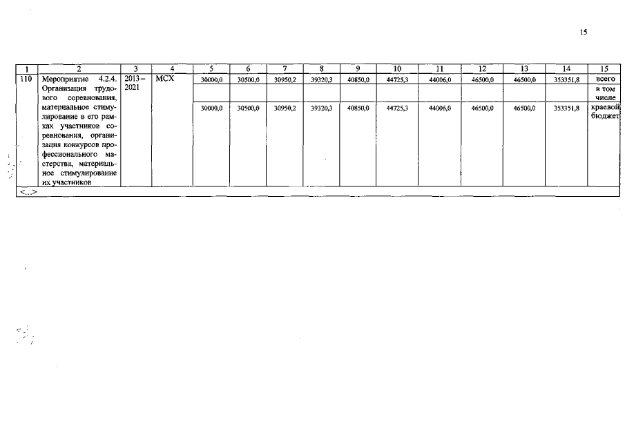
Постановление Правительства Алтайского края от 12.11.2019 № 443
"О внесении изменений в постановления Администрации Алтайского края от 05.10.2012 № 523 и Правительства Алтайского края от 09.02.2017 № 33"
Номер опубликования: 2200201911130001
Дата опубликования: 13.11.2019
Страница №15 из 17:
Увеличить