Официальное опубликование правовых актов
ОФИЦИАЛЬНОЕ ОПУБЛИКОВАНИЕ
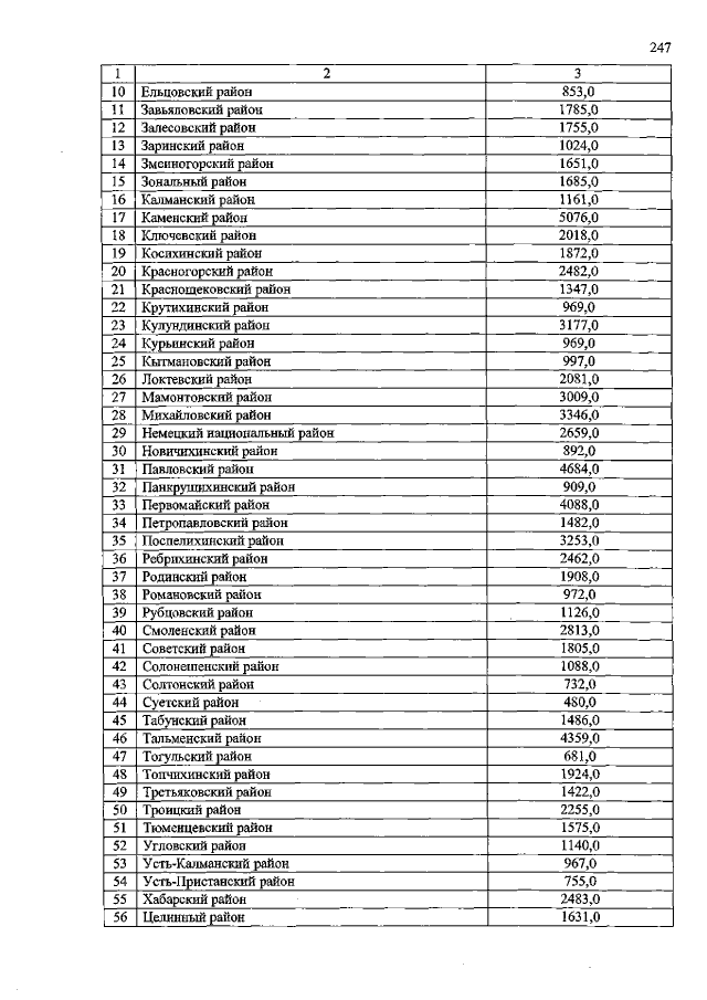
Закон Алтайского края от 05.11.2019 № 80-ЗС
"О внесении изменений в закон Алтайского края "О краевом бюджете на 2019 год и на плановый период 2020 и 2021 годов"
Номер опубликования: 2200201911050002
Дата опубликования: 05.11.2019
Страница №247 из 264:
Увеличить