Официальное опубликование правовых актов
ОФИЦИАЛЬНОЕ ОПУБЛИКОВАНИЕ
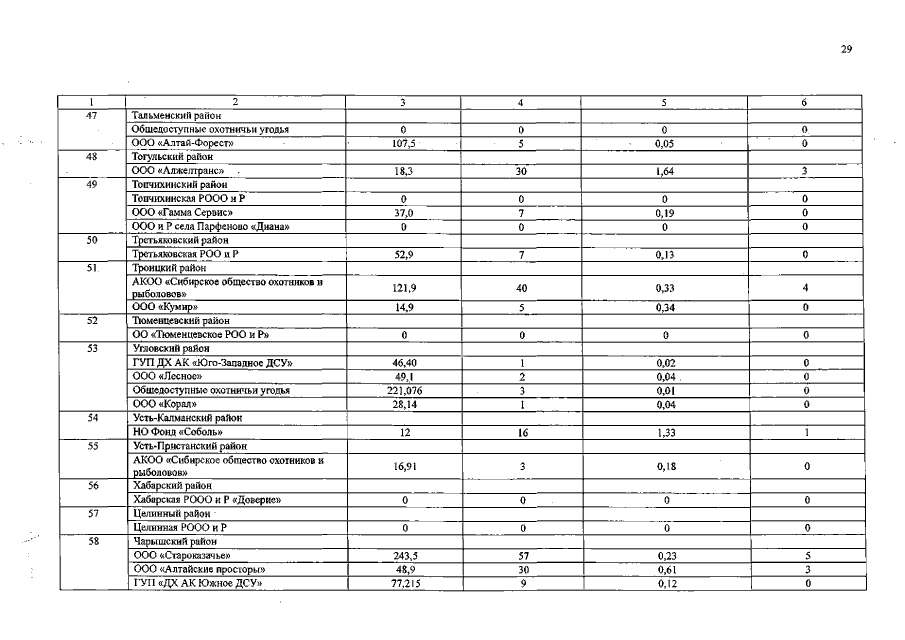
Указ Губернатора Алтайского края от 30.07.2019 № 108
"Об утверждении лимитов и квот добычи косули сибирской, лося, оленя благородного, рыси и соболя в Алтайском крае на период с 1 августа 2019 года до 1 августа 2020 года"
Номер опубликования: 2200201908020001
Дата опубликования: 02.08.2019
Страница №29 из 36:
Увеличить