Официальное опубликование правовых актов
ОФИЦИАЛЬНОЕ ОПУБЛИКОВАНИЕ
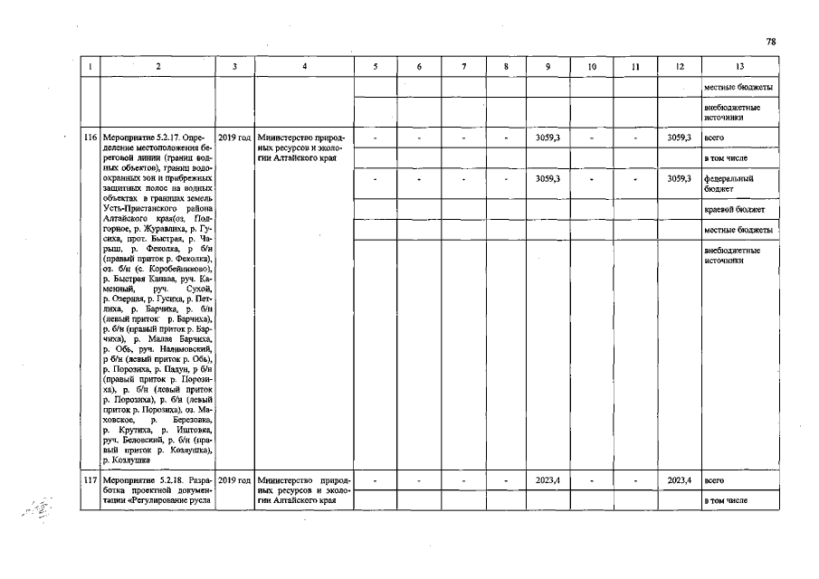
Постановление Правительства Алтайского края от 16.07.2019 № 270
"О внесении изменений в постановление Администрации края от 23.10.2014 № 494"
Номер опубликования: 2200201907220001
Дата опубликования: 22.07.2019
Страница №78 из 100:
Увеличить