Официальное опубликование правовых актов
ОФИЦИАЛЬНОЕ ОПУБЛИКОВАНИЕ
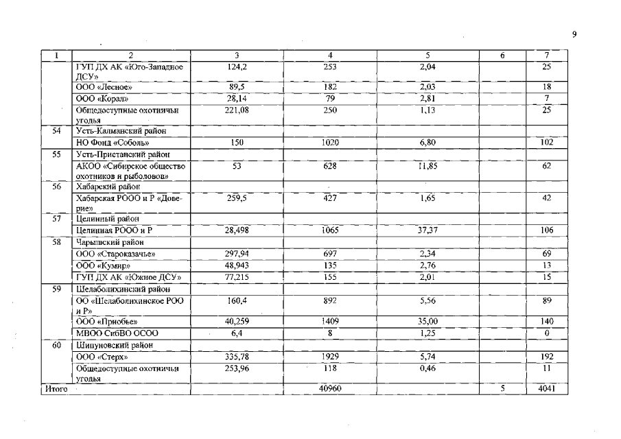
Указ Губернатора Алтайского края от 08.07.2019 № 100
"Об утверждении лимитов и квот добычи барсука и бурого медведя в Алтайском крае на период с 1 августа 2019 года до 1 августа 2020 года"
Номер опубликования: 2200201907150001
Дата опубликования: 15.07.2019
Страница №9 из 16:
Увеличить