Официальное опубликование правовых актов
ОФИЦИАЛЬНОЕ ОПУБЛИКОВАНИЕ
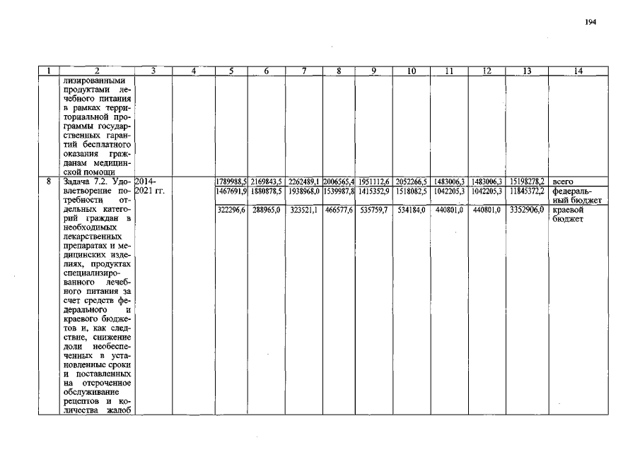
Постановление Правительства Алтайского края от 20.06.2019 № 229
"О внесении изменений в постановление Администрации Алтайского края от 26.06.2013 № 331"
Номер опубликования: 2200201906280001
Дата опубликования: 28.06.2019
Страница №194 из 342:
Увеличить