Официальное опубликование правовых актов
ОФИЦИАЛЬНОЕ ОПУБЛИКОВАНИЕ
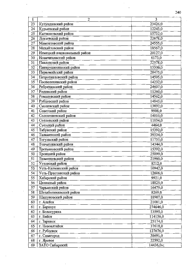
Закон Алтайского края от 31.05.2019 № 35-ЗС
"О внесении изменений в закон Алтайского края "О краевом бюджете на 2019 год и на плановый период 2020 и 2021 годов"
Номер опубликования: 2200201906030004
Дата опубликования: 03.06.2019
Страница №240 из 244:
Увеличить