Официальное опубликование правовых актов
ОФИЦИАЛЬНОЕ ОПУБЛИКОВАНИЕ
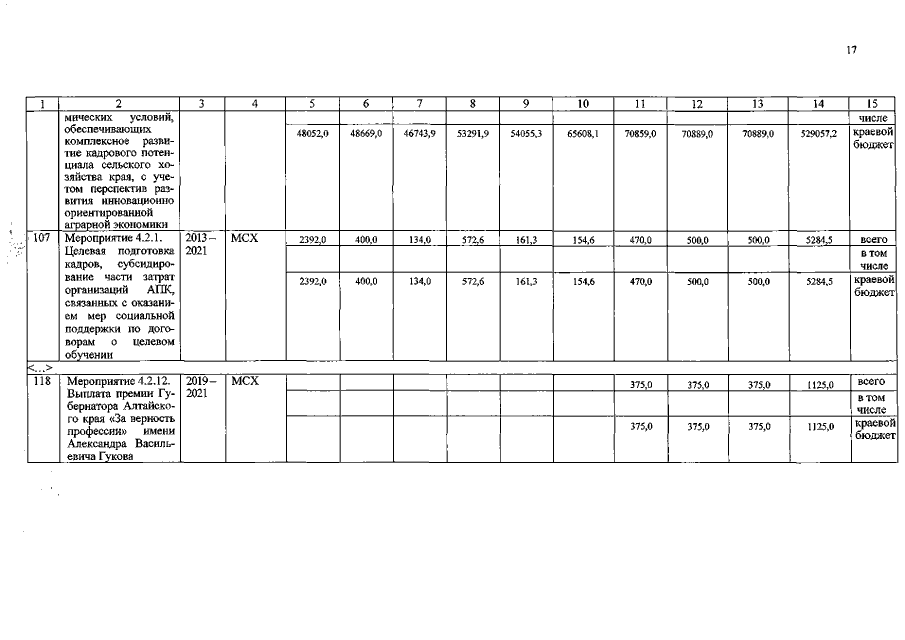
Постановление Правительства Алтайского края от 28.05.2019 № 191
"О внесении изменений в некоторые постановления Администрации Алтайского края и Правительства Алтайского края"
Номер опубликования: 2200201905300002
Дата опубликования: 30.05.2019
Страница №17 из 19:
Увеличить