Официальное опубликование правовых актов
ОФИЦИАЛЬНОЕ ОПУБЛИКОВАНИЕ
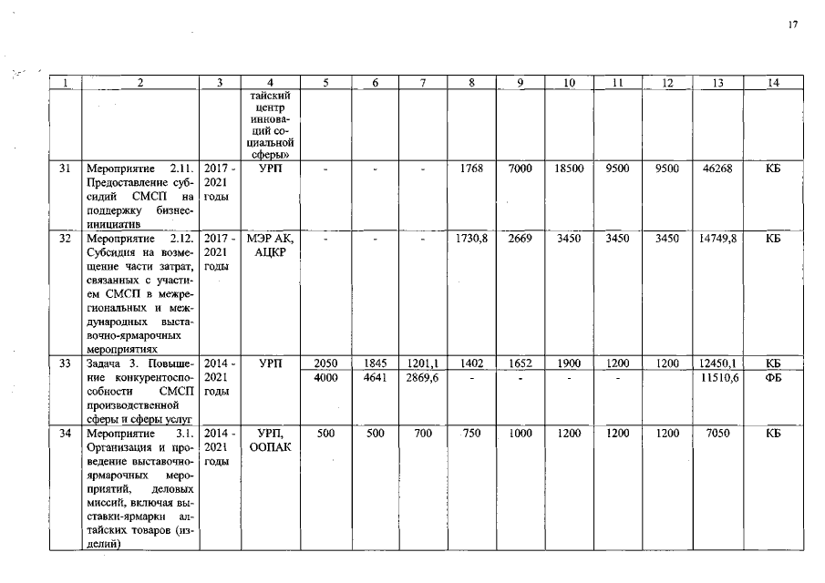
Постановление Правительства Алтайского края от 06.02.2019 № 28
"О внесении изменений в постановление Администрации края от 24.01.2014 № 20"
Номер опубликования: 2200201902070001
Дата опубликования: 07.02.2019
Страница №17 из 32:
Увеличить