Официальное опубликование правовых актов
ОФИЦИАЛЬНОЕ ОПУБЛИКОВАНИЕ
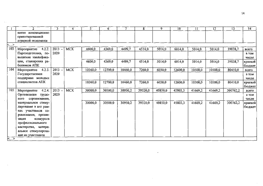
Постановление Правительства Алтайского края от 20.08.2018 № 328
"О внесении изменений в некоторые постановления Администрации Алтайского края и Правительства Алтайского края"
Номер опубликования: 2200201808210004
Дата опубликования: 21.08.2018
Страница №14 из 16:
Увеличить