Официальное опубликование правовых актов
ОФИЦИАЛЬНОЕ ОПУБЛИКОВАНИЕ
Указ Губернатора Алтайского края от 09.06.2018 № 89
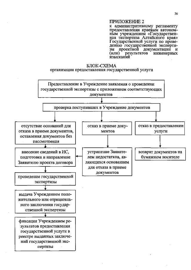
"Об утверждении административного регламента предоставления краевым автономным учреждением"Государственная экспертиза Алтайского края" государственной услуги по проведению государственной экспертизы проектной документациии (или) результатов инженерных изысканий"
Номер опубликования: 2200201806130004
Дата опубликования: 13.06.2018
Страница №36 из 36:
Увеличить