Официальное опубликование правовых актов
ОФИЦИАЛЬНОЕ ОПУБЛИКОВАНИЕ
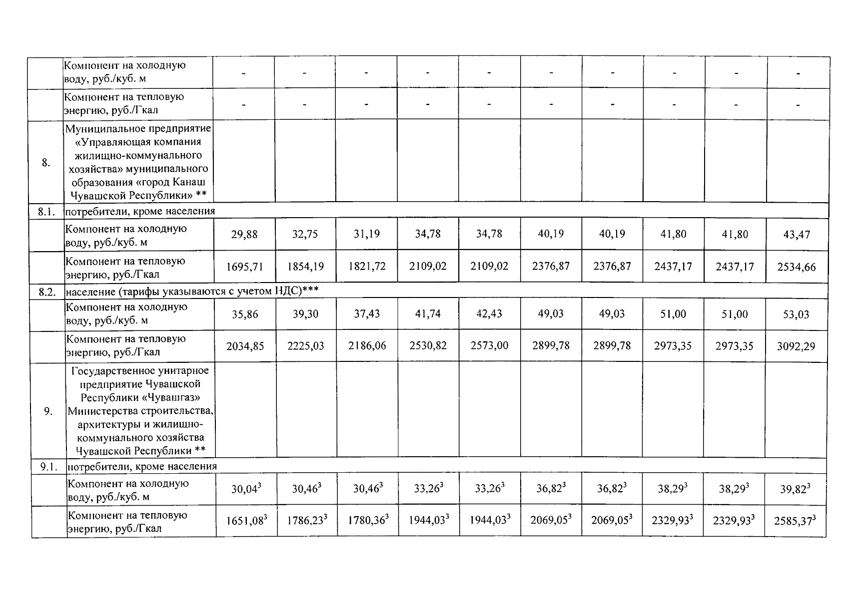
Постановление Государственной службы Чувашской Республики по конкурентной политике и тарифам от 16.12.2025 № 110-22/гв
"О внесении изменения в постановление Государственной службы Чувашской Республики по конкурентной политике и тарифам от 12 декабря 2023 г. № 74-22/гв"
(Зарегистрирован 19.12.2025 № 10863)
Номер опубликования: 2101202512220022
Дата опубликования: 22.12.2025
Страница №6 из 7:
Увеличить