Официальное опубликование правовых актов
ОФИЦИАЛЬНОЕ ОПУБЛИКОВАНИЕ
Приказ Министерства природных ресурсов и экологии Чувашской Республики от 20.11.2025 № 839
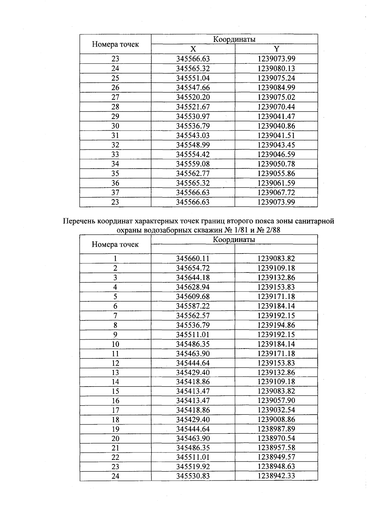
"Об установлении зон санитарной охраны водозаборного участка ГУП Чувашской Республики "БОС" Минстроя Чувашии (скважины № 1/81, 2/88, 3/73, 4/70), расположенного в с. Шихазаны Канашского муниципального округа Чувашской Республики"
(Зарегистрирован 16.12.2025 № 10827)
Номер опубликования: 2101202512190002
Дата опубликования: 19.12.2025
Страница №4 из 9:
Увеличить