Официальное опубликование правовых актов
ОФИЦИАЛЬНОЕ ОПУБЛИКОВАНИЕ
Приказ Министерства природных ресурсов и экологии Чувашской Республики от 15.07.2025 № 547
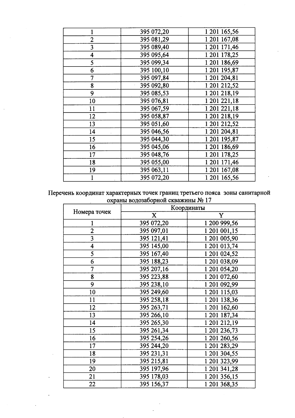
"Об установлении зоны санитарной охраны водозаборной скважины № 17, расположенной в д. Вурманкасы Моргаушского муниципального округа Чувашской Республики"
(Зарегистрирован 07.08.2025 № 10529)
Номер опубликования: 2101202508130010
Дата опубликования: 13.08.2025
Страница №3 из 4:
Увеличить