Официальное опубликование правовых актов
ОФИЦИАЛЬНОЕ ОПУБЛИКОВАНИЕ
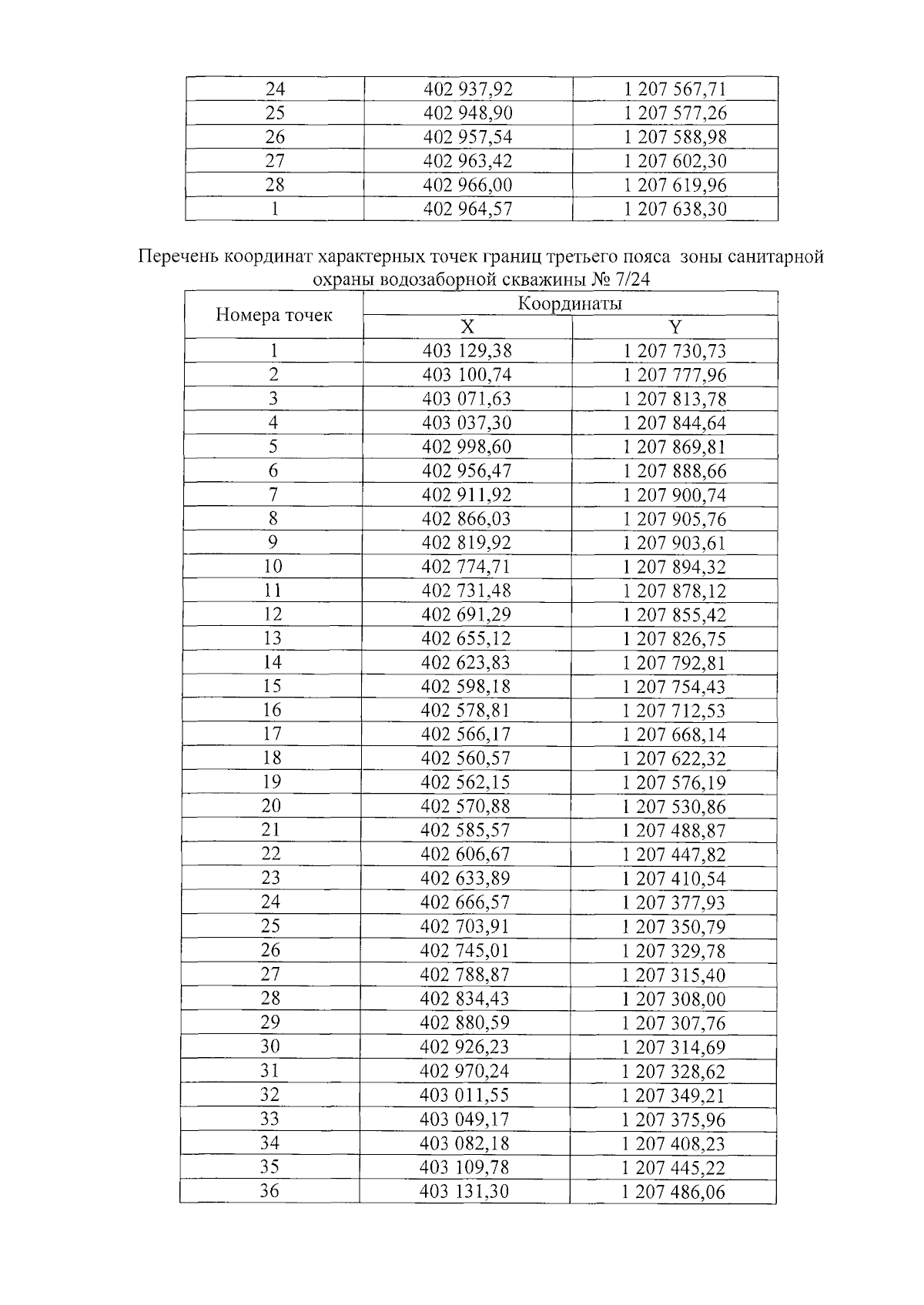
Приказ Министерства природных ресурсов и экологии Чувашской Республики от 16.07.2025 № 561
"Об установлении зон санитарной охраны водозаборных скважин № 6/23 и № 7/24 ОАО "Птицефабрика "Моргаушская", расположенных на северной окраине д. Кораккасы Моргаушского муниципального округа Чувашской Республики"
(Зарегистрирован 07.08.2025 № 10539)
Номер опубликования: 2101202508120001
Дата опубликования: 12.08.2025
Страница №6 из 7:
Увеличить