Официальное опубликование правовых актов
ОФИЦИАЛЬНОЕ ОПУБЛИКОВАНИЕ
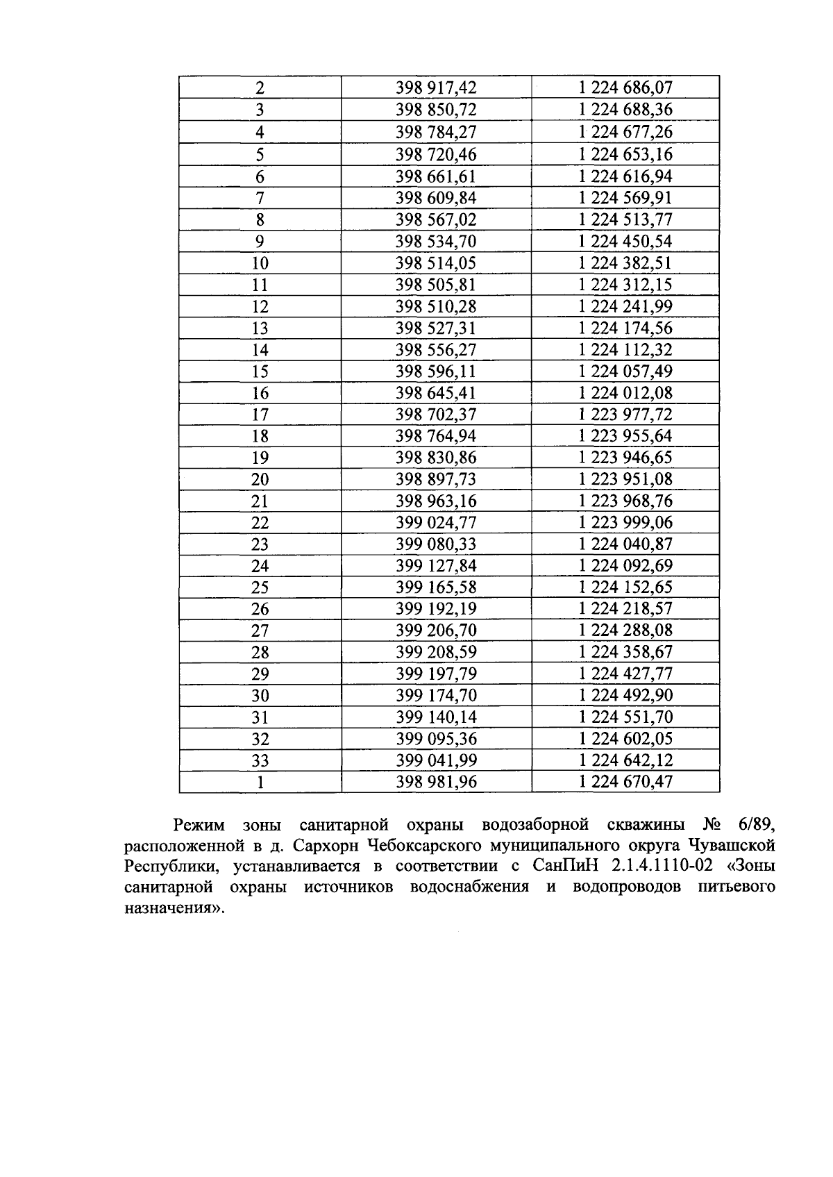
Приказ Министерства природных ресурсов и экологии Чувашской Республики от 01.07.2025 № 528
"Об установлении зоны санитарной охраны водозаборной скважины № 6/89, расположенной в д. Сархорн Чебоксарского муниципального округа Чувашской Республики"
(Зарегистрирован 25.07.2025 № 10474)
Номер опубликования: 2101202507300004
Дата опубликования: 30.07.2025
Страница №4 из 4:
Увеличить