Официальное опубликование правовых актов
ОФИЦИАЛЬНОЕ ОПУБЛИКОВАНИЕ
Приказ Министерства сельского хозяйства Чувашской Республики от 08.06.2025 № 116
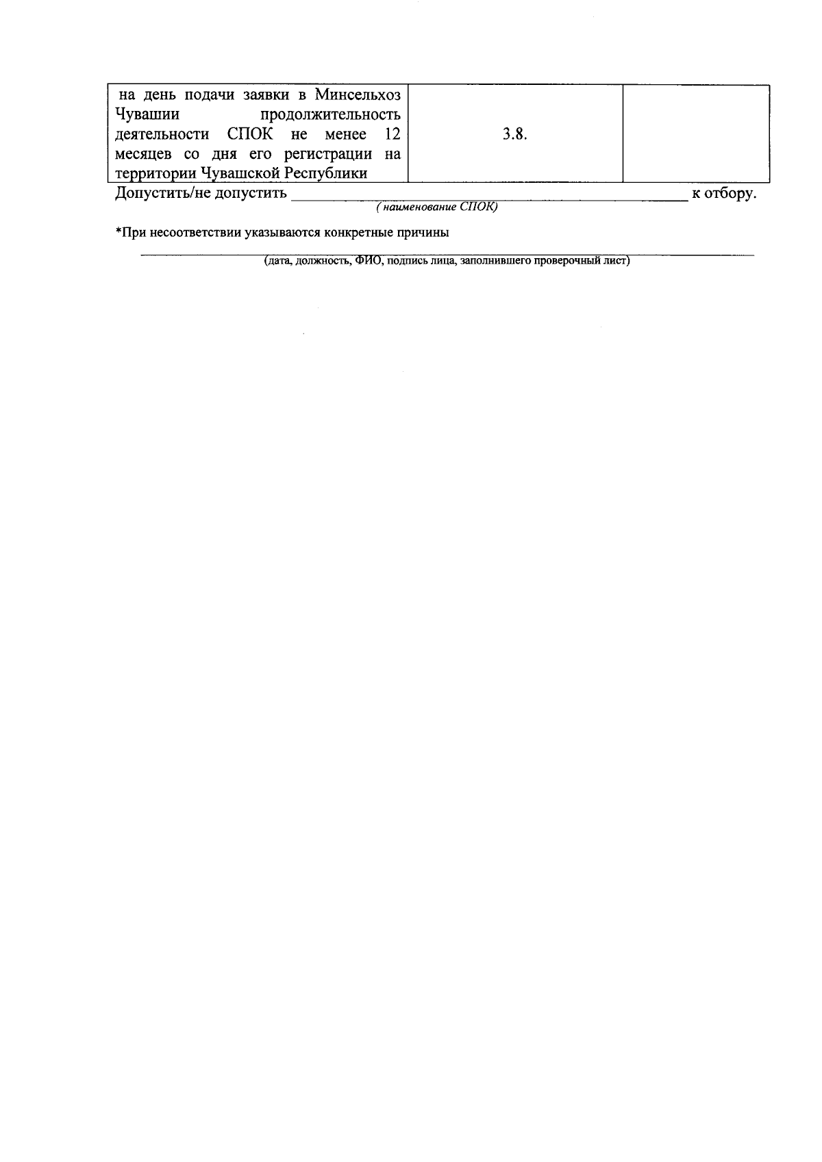
"О Порядке деятельности рабочей группы по рассмотрению заявок и документов, представленных сельскохозяйственными потребительскими кооперативами для предоставления грантовой поддержки на развитие материально-технической базы"
(Зарегистрирован 01.07.2025 № 10383)
Номер опубликования: 2101202507030008
Дата опубликования: 03.07.2025
Страница №20 из 22:
Увеличить