Приказ Министерства культуры, по делам национальностей и архивного дела Чувашской Республики от 17.07.2024 № 01-05/369
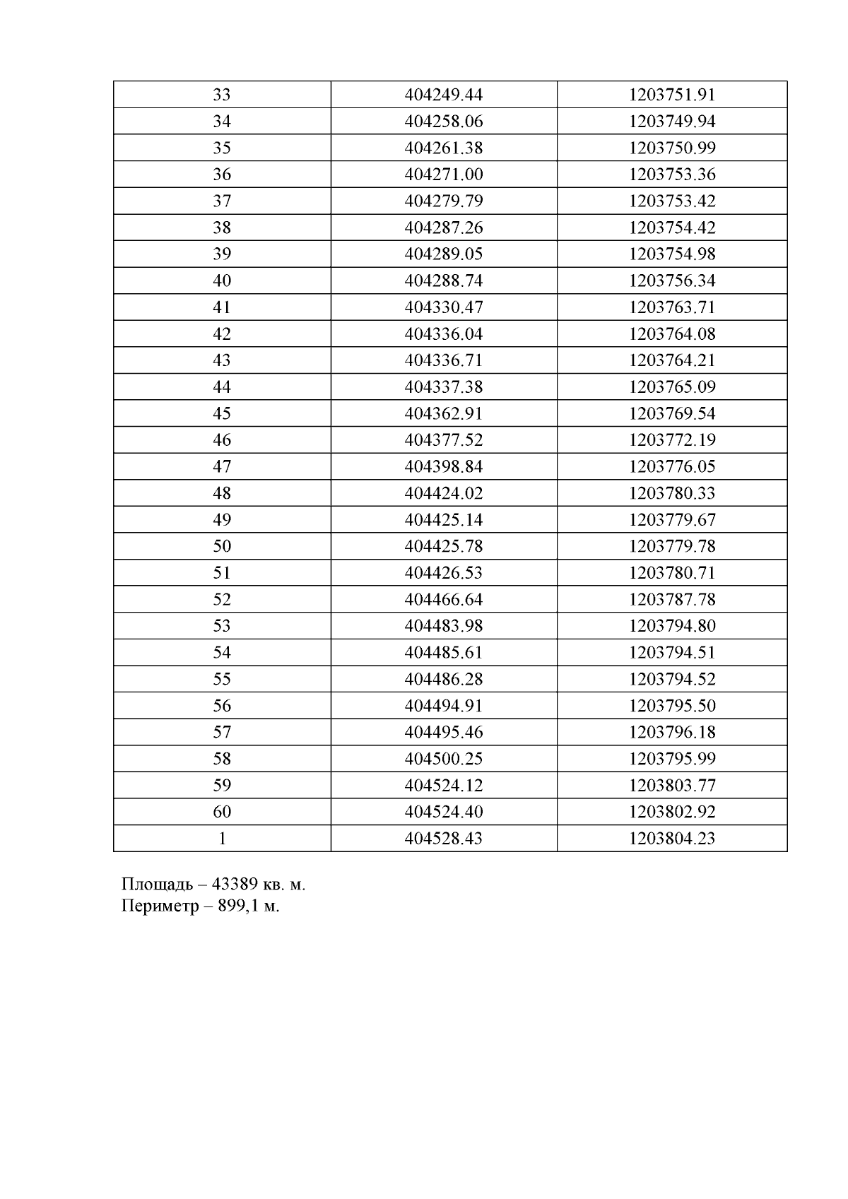
"Об утверждении границ территории объекта культурного наследия (памятника истории и культуры) регионального (республиканского) значения "Ансамбль монастыря Александра Невского", начало XX в., расположенного по адресу: Чувашская Республика, Моргаушский муниципальный округ, д. Кюрегаси, ул. Центральная"
(Зарегистрирован 08.08.2024 № 9513)
"Об утверждении границ территории объекта культурного наследия (памятника истории и культуры) регионального (республиканского) значения "Ансамбль монастыря Александра Невского", начало XX в., расположенного по адресу: Чувашская Республика, Моргаушский муниципальный округ, д. Кюрегаси, ул. Центральная"
(Зарегистрирован 08.08.2024 № 9513)
Номер опубликования: 2101202408090014
Дата опубликования:
09.08.2024
