Официальное опубликование правовых актов
ОФИЦИАЛЬНОЕ ОПУБЛИКОВАНИЕ
Приказ Министерства культуры, по делам национальностей и архивного дела Чувашской Республики от 07.06.2024 № 01-05/283
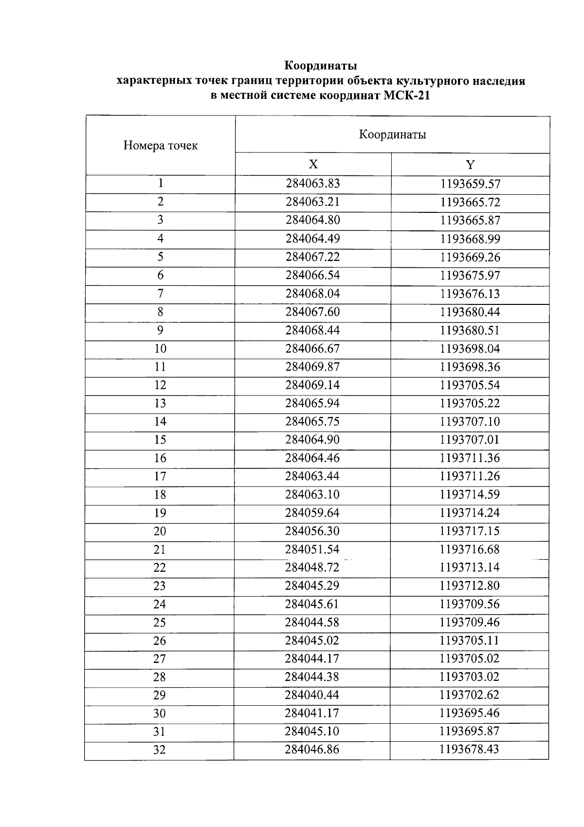
"Об утверждении границ территории объекта культурного наследия (памятника истории и культуры) регионального (республиканского) значения "Троицкая церковь (деревянная)", XIX в., расположенного по адресу: Чувашская Республика, Алатырский муниципальный округ, с. Атрать, ул. Советская, д. 18а"
(Зарегистрирован 08.07.2024 № 9407)
Номер опубликования: 2101202407120005
Дата опубликования: 12.07.2024
Страница №3 из 4:
Увеличить