Официальное опубликование правовых актов
ОФИЦИАЛЬНОЕ ОПУБЛИКОВАНИЕ
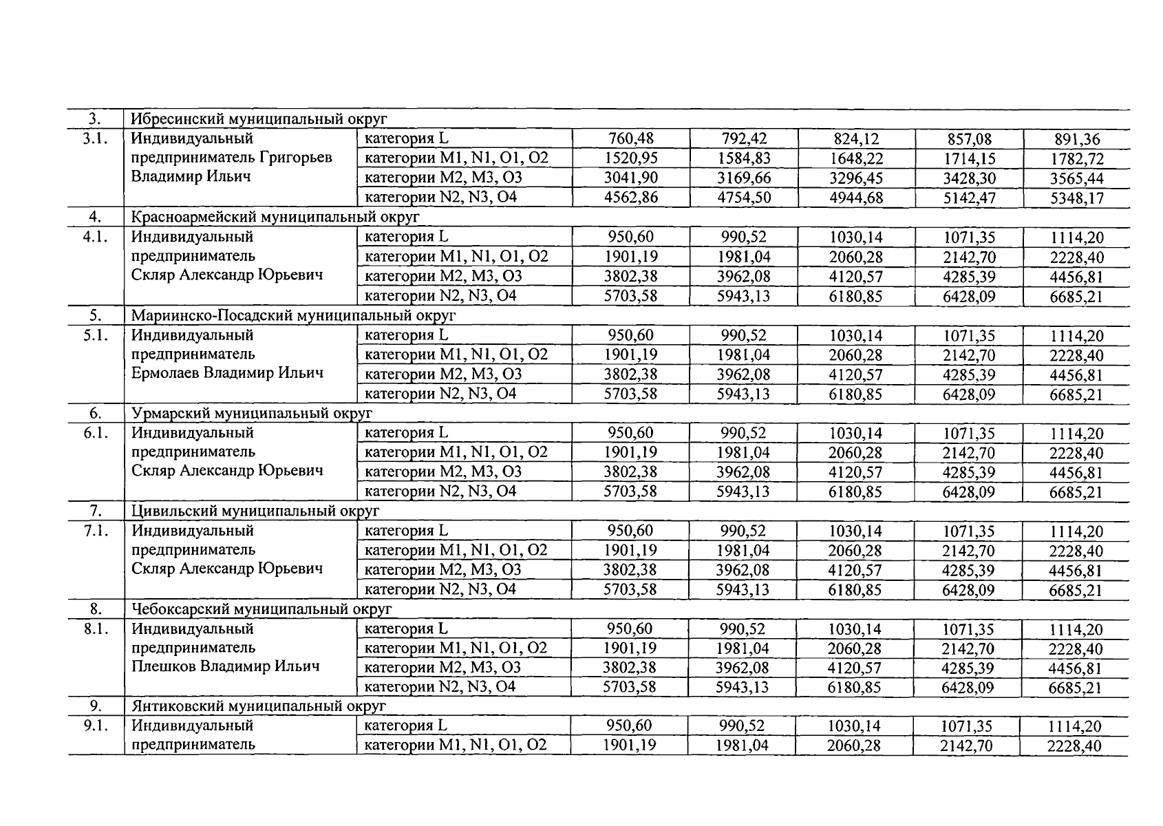
Постановление Государственной службы Чувашской Республики по конкурентной политике и тарифам от 23.01.2024 № 4-1/п
"Об установлении тарифов на перемещение задержанных транспортных средств на специализированную стоянку и на хранение задержанных транспортных средств"
(Зарегистрирован 26.01.2024 № 9078)
Номер опубликования: 2101202401260001
Дата опубликования: 26.01.2024
Страница №4 из 7:
Увеличить